Files
stable/docs/freqai.md
2022-07-13 19:18:13 +02:00

30 KiB

Freqai

!!! Note Freqai is still experimental, and should be used at the user's own discretion.

Freqai is a module designed to automate a variety of tasks associated with training a predictive model to provide signals based on input features.

Among the the features included:

  • Easy large feature set construction based on simple user input
  • Sweep model training and backtesting to simulate consistent model retraining through time
  • Smart outlier removal of data points from prediction sets using a Dissimilarity Index.
  • Data dimensionality reduction with Principal Component Analysis
  • Automatic file management for storage of models to be reused during live
  • Smart and safe data standardization
  • Cleaning of NaNs from the data set before training and prediction.
  • Automated live retraining (still VERY experimental. Proceed with caution.)

General approach

The user provides FreqAI with a set of custom indicators (created inside the strategy the same way a typical Freqtrade strategy is created) as well as a target value (typically some price change into the future). FreqAI trains a model to predict the target value based on the input of custom indicators. FreqAI will train and save a new model for each pair in the config whitelist. Users employ FreqAI to backtest a strategy (emulate reality with retraining a model as new data is introduced) and run the model live to generate buy and sell signals.

Background and vocabulary

Features are the quantities with which a model is trained. X_i represents the vector of all features for a single candle. In Freqai, the user builds the features from anything they can construct in the strategy.

Labels are the target values with which the weights inside a model are trained toward. Each set of features is associated with a single label, which is also defined within the strategy by the user. These labels look forward into the future, and are not available to the model during dryrun/live/backtesting.

Training refers to the process of feeding individual feature sets into the model with associated labels with the goal of matching input feature sets to associated labels.

Train data is a subset of the historic data which is fed to the model during training to adjust weights. This data directly influences weight connections in the model.

Test data is a subset of the historic data which is used to evaluate the intermediate performance of the model during training. This data does not directly influence nodal weights within the model.

Install prerequisites

Use pip to install the prerequisites with:

pip install -r requirements-freqai.txt

Running from the example files

An example strategy, an example prediction model, and example config can all be found in freqtrade/templates/ExampleFreqaiStrategy.py, freqtrade/freqai/prediction_models/CatboostPredictionModel.py, config_examples/config_freqai.example.json, respectively. Assuming the user has downloaded the necessary data, Freqai can be executed from these templates with:

freqtrade backtesting --config config_examples/config_freqai.example.json --strategy FreqaiExampleStrategy --freqaimodel CatboostPredictionModel --strategy-path freqtrade/templates --timerange 20220101-20220201

Configuring the bot

Example config file

The user interface is isolated to the typical config file. A typical Freqai config setup includes:

    "freqai": {
                "startup_candles": 10000,
                "purge_old_models": true,
                "train_period_days" : 30,
                "backtest_period_days" : 7,
                "identifier" :  "unique-id",
                "feature_parameters" : {
                    "include_timeframes" : ["5m","15m","4h"],
                    "include_corr_pairlist": [
                            "ETH/USD",
                            "LINK/USD",
                            "BNB/USD"
                    ],
                    "label_period_candles": 24,
                    "include_shifted_candles": 2,
                    "weight_factor":  0,
                    "indicator_max_period_candles": 20,
                    "indicator_periods_candles": [10, 20]
                },
                "data_split_parameters" : {
                    "test_size": 0.25,
                    "random_state": 42
                },
                "model_training_parameters" : {
                    "n_estimators": 100,
                    "random_state": 42,
                    "learning_rate": 0.02,
                    "task_type": "CPU",
                },
        }

Building the feature set

Features are added by the user inside the populate_any_indicators() method of the strategy by prepending indicators with % and labels are added by prependng &. There are some important components/structures that the user must include when building their feature set. As shown below, with self.model.bridge.lock: must be used to ensure thread safety - especially when using third party libraries for indicator construction such as TA-lib. Another structure to consider is the location of the labels at the bottom of the example function (below if set_generalized_indicators:). This is where the user will add single features labels to their feature set to avoid duplication from various configuration paramters which multiply the feature set such as include_timeframes.

    def populate_any_indicators(
        self, metadata, pair, df, tf, informative=None, coin="", set_generalized_indicators=False
    ):
        """
        Function designed to automatically generate, name and merge features
        from user indicated timeframes in the configuration file. User controls the indicators
        passed to the training/prediction by prepending indicators with `'%-' + coin `
        (see convention below). I.e. user should not prepend any supporting metrics
        (e.g. bb_lowerband below) with % unless they explicitly want to pass that metric to the
        model.
        :params:
        :pair: pair to be used as informative
        :df: strategy dataframe which will receive merges from informatives
        :tf: timeframe of the dataframe which will modify the feature names
        :informative: the dataframe associated with the informative pair
        :coin: the name of the coin which will modify the feature names.
        """

        with self.model.bridge.lock:
            if informative is None:
                informative = self.dp.get_pair_dataframe(pair, tf)

            # first loop is automatically duplicating indicators for time periods
            for t in self.freqai_info["feature_parameters"]["indicator_periods_candles"]:
                t = int(t)
                informative[f"%-{coin}rsi-period_{t}"] = ta.RSI(informative, timeperiod=t)
                informative[f"%-{coin}mfi-period_{t}"] = ta.MFI(informative, timeperiod=t)
                informative[f"%-{coin}adx-period_{t}"] = ta.ADX(informative, window=t)

                bollinger = qtpylib.bollinger_bands(
                    qtpylib.typical_price(informative), window=t, stds=2.2
                )
                informative[f"{coin}bb_lowerband-period_{t}"] = bollinger["lower"]
                informative[f"{coin}bb_middleband-period_{t}"] = bollinger["mid"]
                informative[f"{coin}bb_upperband-period_{t}"] = bollinger["upper"]

                informative[f"%-{coin}bb_width-period_{t}"] = (
                    informative[f"{coin}bb_upperband-period_{t}"]
                    - informative[f"{coin}bb_lowerband-period_{t}"]
                ) / informative[f"{coin}bb_middleband-period_{t}"]
                informative[f"%-{coin}close-bb_lower-period_{t}"] = (
                    informative["close"] / informative[f"{coin}bb_lowerband-period_{t}"]
                )

                informative[f"%-{coin}relative_volume-period_{t}"] = (
                    informative["volume"] / informative["volume"].rolling(t).mean()
                )

            indicators = [col for col in informative if col.startswith("%")]
            # This loop duplicates and shifts all indicators to add a sense of recency to data
            for n in range(self.freqai_info["feature_parameters"]["include_shifted_candles"] + 1):
                if n == 0:
                    continue
                informative_shift = informative[indicators].shift(n)
                informative_shift = informative_shift.add_suffix("_shift-" + str(n))
                informative = pd.concat((informative, informative_shift), axis=1)

            df = merge_informative_pair(df, informative, self.config["timeframe"], tf, ffill=True)
            skip_columns = [
                (s + "_" + tf) for s in ["date", "open", "high", "low", "close", "volume"]
            ]
            df = df.drop(columns=skip_columns)

            # Add generalized indicators here (because in live, it will call this
            # function to populate indicators during training). Notice how we ensure not to
            # add them multiple times
            if set_generalized_indicators:
                df["%-day_of_week"] = (df["date"].dt.dayofweek + 1) / 7
                df["%-hour_of_day"] = (df["date"].dt.hour + 1) / 25

                # user adds targets here by prepending them with &- (see convention below)
                # If user wishes to use multiple targets, a multioutput prediction model
                # needs to be used such as templates/CatboostPredictionMultiModel.py
                df["&-s_close"] = (
                    df["close"]
                    .shift(-self.freqai_info["feature_parameters"]["label_period_candles"])
                    .rolling(self.freqai_info["feature_parameters"]["label_period_candles"])
                    .mean()
                    / df["close"]
                    - 1
                )

        return df

The user of the present example does not want to pass the bb_lowerband as a feature to the model, and has therefore not prepended it with %. The user does, however, wish to pass bb_width to the model for training/prediction and has therfore prepended it with %._

Note: features must be defined in populate_any_indicators(). Making features in populate_indicators() will fail in live/dry. If the user wishes to add generalized features that are not associated with a specific pair or timeframe, they should use the following structure inside populate_any_indicators() (as exemplified in freqtrade/templates/FreqaiExampleStrategy.py:

    def populate_any_indicators(self, metadata, pair, df, tf, informative=None, coin=""):

        ...

        # Add generalized indicators here (because in live, it will call only this function to populate 
        # indicators for retraining). Notice how we ensure not to add them multiple times by associating
        # these generalized indicators to the basepair/timeframe
        if pair == metadata['pair'] and tf == self.timeframe:
            df['%-day_of_week'] = (df["date"].dt.dayofweek + 1) / 7
            df['%-hour_of_day'] = (df['date'].dt.hour + 1) / 25

            # user adds targets here by prepending them with &- (see convention below)
            # If user wishes to use multiple targets, a multioutput prediction model
            # needs to be used such as templates/CatboostPredictionMultiModel.py
            df["&-s_close"] = (
                df["close"]
                .shift(-self.freqai_info["feature_parameters"]["label_period_candles"])
                .rolling(self.freqai_info["feature_parameters"]["label_period_candles"])
                .mean()
                / df["close"]
                - 1
                )

(Please see the example script located in freqtrade/templates/FreqaiExampleStrategy.py for a full example of populate_any_indicators())

The include_timeframes from the example config above are the timeframes of each populate_any_indicator() included metric for inclusion in the feature set. In the present case, the user is asking for the 5m, 15m, and 4h timeframes of the rsi, mfi, roc, and bb_width to be included in the feature set.

In addition, the user can ask for each of these features to be included from informative pairs using the include_corr_pairlist. This means that the present feature set will include all the features from populate_any_indicators on all the include_timeframes for each of ETH/USD, LINK/USD, and BNB/USD.

include_shifted_candles is another user controlled parameter which indicates the number of previous candles to include in the present feature set. In other words, innclude_shifted_candles: 2, tells Freqai to include the the past 2 candles for each of the features included in the dataset.

In total, the number of features the present user has created is:_

legnth of include_timeframes * no. features in populate_any_indicators() * legnth of include_corr_pairlist * no. include_shifted_candles * length of indicator_periods_candles_ 3 * 3 * 3 * 2 * 2 = 108._

Deciding the sliding training window and backtesting duration

Users define the backtesting timerange with the typical --timerange parameter in the user configuration file. train_period_days is the duration of the sliding training window, while backtest_period_days is the sliding backtesting window, both in number of days (backtest_period_days can be a float to indicate sub daily retraining in live/dry mode). In the present example, the user is asking Freqai to use a training period of 30 days and backtest the subsequent 7 days. This means that if the user sets --timerange 20210501-20210701, Freqai will train 8 separate models (because the full range comprises 8 weeks), and then backtest the subsequent week associated with each of the 8 training data set timerange months. Users can think of this as a "sliding window" which emulates Freqai retraining itself once per week in live using the previous month of data._

In live, the required training data is automatically computed and downloaded. However, in backtesting the user must manually enter the required number of startup_candles in the config. This value is used to increase the available data to FreqAI and should be sufficient to enable all indicators to be NaN free at the beginning of the first training timerange. This boils down to identifying the highest timeframe (4h in present example) and the longest indicator period (25 in present example) and adding this to the train_period_days. The units need to be in the base candle time frame:_

startup_candles = ( 4 hours * 25 max period * 60 minutes/hour + 30 day train_period_days * 1440 minutes per day ) / 5 min (base time frame) = 1488.

!!! Note In dry/live, this is all precomputed and handled automatically. Thus, startup_candle has no influence on dry/live.

Running Freqai

Training and backtesting

The freqai training/backtesting module can be executed with the following command:

freqtrade backtesting --strategy FreqaiExampleStrategy --config config_freqai.example.json --freqaimodel CatboostPredictionModel --timerange 20210501-20210701

If this command has never been executed with the existing config file, then it will train a new model for each pair, for each backtesting window within the bigger --timerange._


NOTE Once the training is completed, the user can execute this again with the same config file and FreqAI will find the trained models and load them instead of spending time training. This is useful if the user wants to tweak (or even hyperopt) buy and sell criteria inside the strategy. IF the user wants to retrain a new model with the same config file, then he/she should simply change the identifier. This way, the user can return to using any model they wish by simply changing the identifier.


Building a freqai strategy

The Freqai strategy requires the user to include the following lines of code in the strategy:

    from freqtrade.freqai.strategy_bridge import CustomModel

    def informative_pairs(self):
        whitelist_pairs = self.dp.current_whitelist()
        corr_pairs = self.config["freqai"]["feature_parameters"]["include_corr_pairlist"]
        informative_pairs = []
        for tf in self.config["freqai"]["feature_parameters"]["include_timeframes"]:
            for pair in whitelist_pairs:
                informative_pairs.append((pair, tf))
            for pair in corr_pairs:
                if pair in whitelist_pairs:
                    continue  # avoid duplication
                informative_pairs.append((pair, tf))
        return informative_pairs

    def bot_start(self):
        self.model = CustomModel(self.config)

    def populate_indicators(self, dataframe: DataFrame, metadata: dict) -> DataFrame:

        self.freqai_info = self.config["freqai"]
        self.pair = metadata["pair"]
        sgi = True
        # the following loops are necessary for building the features
        # indicated by the user in the configuration file.
        # All indicators must be populated by populate_any_indicators() for live functionality
        # to work correctly.
        for tf in self.freqai_info["feature_parameters"]["include_timeframes"]:
            dataframe = self.populate_any_indicators(
                metadata,
                self.pair,
                dataframe.copy(),
                tf,
                coin=self.pair.split("/")[0] + "-",
                set_generalized_indicators=sgi,
            )
            sgi = False
            for pair in self.freqai_info["feature_parameters"]["include_corr_pairlist"]:
                if metadata["pair"] in pair:
                    continue  # do not include whitelisted pair twice if it is in corr_pairlist
                dataframe = self.populate_any_indicators(
                    metadata, pair, dataframe.copy(), tf, coin=pair.split("/")[0] + "-"
                )

        # the model will return 4 values, its prediction, an indication of whether or not the
        # prediction should be accepted, the target mean/std values from the labels used during
        # each training period.
        dataframe = self.model.bridge.start(dataframe, metadata, self)

        return dataframe

The user should also include populate_any_indicators() from templates/FreqaiExampleStrategy.py which builds the feature set with a proper naming convention for the IFreqaiModel to use later.

Building an IFreqaiModel

Freqai has an example prediction model based on the popular Catboost regression (freqai/prediction_models/CatboostPredictionModel.py). However, users can customize and create their own prediction models using the IFreqaiModel class. Users are encouraged to inherit train() and predict() to let them customize various aspects of their training procedures.

Running the model live

Freqai can be run dry/live using the following command

freqtrade trade --strategy FreqaiExampleStrategy --config config_freqai.example.json --freqaimodel ExamplePredictionModel

By default, Freqai will not find find any existing models and will start by training a new one given the user configuration settings. Following training, it will use that model to predict for the duration of backtest_period_days. After a full backtest_period_days has elapsed, Freqai will auto retrain a new model, and begin making predictions with the updated model. FreqAI backtesting and live both permit the user to use fractional days (i.e. 0.1) in the backtest_period_days, which enables more frequent retraining. But the user should be careful that using a fractional backtest_period_days with a large --timerange in backtesting will result in a huge amount of required trainings/models.

If the user wishes to start dry/live from a backtested saved model, the user only needs to reuse the same identifier parameter

    "freqai": {
        "identifier": "example",
        "live_retrain_hours": 1
    }

In this case, although Freqai will initiate with a pre-trained model, it will still check to see how much time has elapsed since the model was trained, and if a full live_retrain_hours has elapsed since the end of the loaded model, FreqAI will self retrain. It is common to want constant retraining, in whichcase, user should set live_retrain_hours to 0.

Data anylsis techniques

Controlling the model learning process

Depending on what AI model to be used, these parameter names could be different. For example, the accepted parameters for the Catboost models are n_estimators, task_type and others. For the model like SVM regression model, the accepted parameters are different.

Here we explan the parameters of model_training_parameters for Catboost:

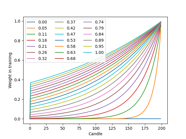
The user can define model settings for the data split data_split_parameters and learning parameters model_training_parameters. Users are encouraged to visit the Catboost documentation for more information on how to select these values. n_estimators increases the computational effort and the fit to the training data. If a user has a GPU installed in their system, they may benefit from changing task_type to GPU. The weight_factor allows the user to weight more recent data more strongly than past data via an exponential function:

W_i = \exp(\frac{-i}{\alpha*n})

where W_i is the weight of data point i in a total set of n data points._

weight-factor

Finally, period defines the offset used for the labels. In the present example, the user is asking for labels that are 24 candles in the future.

Note: typically in time-series forecasting, the validation/test data should be the "future" by a given training data. Thus, it is recommended to disable shuffle parameter during the cross-validation or validation steps. For more detailed explaination, visit here.

Removing outliers with the Dissimilarity Index

The Dissimilarity Index (DI) aims to quantify the uncertainty associated with each prediction by the model. To do so, Freqai measures the distance between each training data point and all other training data points:

d_{ab} = \sqrt{\sum_{j=1}^p(X_{a,j}-X_{b,j})^2}

where d_{ab} is the distance between the normalized points a and b. p is the number of features i.e. the length of the vector X. The characteristic distance, \overline{d} for a set of training data points is simply the mean of the average distances:

\overline{d} = \sum_{a=1}^n(\sum_{b=1}^n(d_{ab}/n)/n)

\overline{d} quantifies the spread of the training data, which is compared to the distance between the new prediction feature vectors, X_k and all the training data:

d_k = \argmin_i d_{k,i}

which enables the estimation of a Dissimilarity Index:

DI_k = d_k/\overline{d}

Equity and crypto markets suffer from a high level of non-patterned noise in the form of outlier data points. The dissimilarity index allows predictions which are outliers and not existent in the model feature space, to be thrown out due to low levels of certainty. Activating the Dissimilarity Index can be achieved with:

    "freqai": {
        "feature_parameters" : {
                "DI_threshold": 1
        }
    }

The user can tweak the DI with DI_threshold to increase or decrease the extrapolation of the trained model.

Reducing data dimensionality with Principal Component Analysis

Users can reduce the dimensionality of their features by activating the principal_component_analysis:

    "freqai": {
        "feature_parameters" : {
                "principal_component_analysis": true
        }
    }

Which will perform PCA on the features and reduce the dimensionality of the data so that the explained variance of the data set is >= 0.999.

Removing outliers using a Support Vector Machine (SVM)

The user can tell Freqai to remove outlier data points from the training/test data sets by setting:

    "freqai": {
        "feature_parameters" : {
            "use_SVM_to_remove_outliers: true
        }
    }

Freqai will train an SVM on the training data (or components if the user activated principal_component_analysis) and remove any data point that it deems to be sit beyond the feature space.

Stratifying the data

The user can stratify the training/testing data using:

    "freqai": {
        "feature_parameters" : {
            "stratify_training_data": 3
        }
    }

which will split the data chronologically so that every Xth data points is a testing data point. In the present example, the user is asking for every third data point in the dataframe to be used for testing, the other points are used for training.

Setting up a follower

The user can define:

    "freqai": {
        "follow_mode": true,
        "identifier": "example"
    }

to indicate to the bot that it should not train models, but instead should look for models trained by a leader with the same identifier. In this example, the user has a leader bot with the identifier: "example" already running or launching simultaneously as the present follower. The follower will load models created by the leader and inference them to obtain predictions.

Purging old model data

FreqAI stores new model files each time it retrains. These files become obsolete as new models are trained and FreqAI adapts to the new market conditions. Users planning to leave FreqAI running for extended periods of time with high frequency retraining should set purge_old_models in their config:

    "freqai": {
        "purge_old_models": true,
    }

which will automatically purge all models older than the two most recently trained ones.

Defining model expirations

During dry/live, FreqAI trains each pair sequentially (on separate threads/GPU from the main Freqtrade bot). This means there is always an age discrepancy between models. If a user is training on 50 pairs, and each pair requires 5 minutes to train, the oldest model will be over 4 hours old. This may be undesirable if the characteristic time scale (read trade duration target) for a strategy is much less than 4 hours. The user can decide to only make trade entries if the model is less than a certain number of hours in age by setting the expiration_hours in the config file:

    "freqai": {
        "expiration_hours": 0.5,
    }

In the present example, the user will only allow predictions on models that are less than 1/2 hours old.

Choosing the calculation of the target_roi

As shown in templates/FreqaiExampleStrategy.py, the target_roi is based on two metrics computed by FreqAI: label_mean and label_std. These are the statistics associated with the labels used during the most recent training. This allows the model to know what magnitude of a target to be expecting since it is directly stemming from the training data. By default, FreqAI computes this based on trainig data and it assumes the labels are Gaussian distributed. These are big assumptions that the user should consider when creating their labels. If the user wants to consider the population of historical predictions for creating the dynamic target instead of the trained labels, the user can do so by setting fit_live_prediction_candles to the number of historical prediction candles the user wishes to use to generate target statistics.

    "freqai": {
        "fit_live_prediction_candles": 300,
    }

If the user sets this value, FreqAI will initially use the predictions from the training data set and then subsequently begin introducing real prediction data as it is generated. FreqAI will save this historical data to be reloaded if the user stops and restarts with the same identifier.

Additional information

Feature normalization

The feature set created by the user is automatically normalized to the training data only. This includes all test data and unseen prediction data (dry/live/backtest).

File structure

user_data_dir/models/ contains all the data associated with the trainings and backtests. This file structure is heavily controlled and read by the FreqaiDataKitchen() and should thus not be modified.